Мы приняли вашу заявку, свяжемся с вами в ближайшее время.
Доступность
- На складе
- В транзите
- В транзите и на складе
- Все товары
1,3,5-тригидроксибензол
См. Флороглюцин, 99,0%, HPLC, Sigma-Aldrich
2,2,2-Трихлоруксусная кислота
См. Трихлоруксусная кислота/Trichloro Acetic Acid AR/ACS, 99,5%
2,4,5,6-Тетраоксипиримидин
См. Аллоксан моногидрат/Alloxan Monohydrate 100 г, CDH, Индия
2-метил-2-пропанол
См. Трет-бутанол AR (трет-бутиловый спирт), 99,5%
2-тиоксопиримидин-4,6-дион
См. Тиобарбитуровая кислота, 99%, 500 г
2′,4′,5′,7′-тетрайодфлуоресцеин динатриевая соль
См. Эритрозин Б натриевая соль
3,4,5-Тригидробензойная кислота
См. Галловая кислота б/в
3-(триметоксисилил) пропил метакрилат
См. Байнд-Силан PlusOne
3-Триэтоксисилилпропиламин
См. Триэтоксисилан-3-аминопропил
037156.100 gm
100 г
1 355 руб.
Синонимы: L-2-Амино-3-(4-гидроксифенил)-пропионовая кислота, (S)-2-Амино-3-(4-гидроксифенил)пропионовая кислота, 3-(4-гидроксифенил)-L-аланин, (S)-2-Amino-3-(4-hydroxyphenyl)propionic acid, 3-(4-Hydroxyphenyl)-L-alanine.
| CAS-No. | 60-18-4 |
| Химическая формула | C₉H₁₁NO₃ |
| Молекулярная масса, г/моль | 181,19 |
| Внешний вид | белый/почти белый кристаллический порошок |
| Содержание основного вещества, % | 98,5 |
| Потери при высушивании, % | 0,5 |
| Сульфатная зола (SO₄), % | 0,1 |
| Железо (Fe), % | 0,001 |
| Свинец (Pb), % | 0,001 |
N,N,N′-Триметилтионин
См. Азур I, C.I. 52010
N-[Трис(гидроксиметил)метил]глицин
См. Трицин для молекулярной биологии, 99,0%
M0202L
100000 ед.
49 236 руб.
49 236 руб. RUB
TEP / Тетраэтоксипропан
См. Малоновый диальдегид
α-толуолсульфонилфторид
См. Фенилметилсульфонилфторид/Phenyl Methanesulphonyl Fluoride (PMSF), 99,0%
Метилтиазолилдифенил-тетразолий бромид
См. Тетразолий синий бромид, 98%, для культур клеток
TC1287M.100 ml
100 мл
4 287 руб.
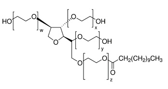
Синоним: полисорбат 20, монолаурат полиоксиэтиленсорбитана.
| CAS-No. | 9005-64-5 |
| Гидроксильное число | 97-113 |
| Число омыления | 40-51 |
| Описание | вязкая жидкость бледно-желтого цвета. |
| Растворимость | 5% раствор в воде представляет собой прозрачную жидкость желтого или желтого цвета. |
| pH (5% водный раствор) | 6-8 |
| Тест клеточной культуры | проходит |
Индекс рискаИндекс риска (R) | GHS07 | ||
Индекс опасностиИндекс опасности (H) | H315+H319+H335 | ||
Индекс предупреждения
Индекс предупреждения (P) | P305+P351+P338 | ||
Символы опасностиСимволы опасности | опасный для здоровья |
CDH, Индия
Твин 20,
CAS 9005-64-5,
для молекулярной биологии,
(аналоги: арт. 8506ML, 8506LT, neoFroxx)
923600.100 ml
100 мл
6 624 руб.
923600.5X100 ml
5×100 мл
26 553 руб.
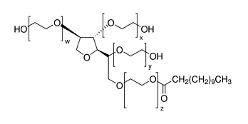
Синоним: монтанокс 20, полисорбат 20.
| CAS-No. | 9005-64-5 |
| Химическая формула | C₅₈H₁₁₄O₂₆ |
| Молекуляный вес, г/моль | 1227,72 |
| Описание | Прозрачная вязкая жидкость от желтого до желто-зеленого цвета. |
| Растворимость | 10% раствор в воде представляет собой прозрачную жидкость желтого или желтого цвета. |
| pH (1% водный раствор) | 5-7 |
| Плотность (при 25 °C) | 1,095 |
| Показатель преломления (n)²⁰ | 1,468 |
| ДНК-азы/РНК-азы/протеазы | Не обнаружены |
GC204002-100ml
100 мл
590 руб.
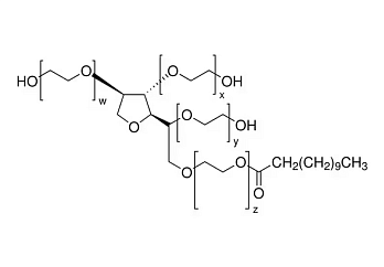
| CAS-No. | 9005-64-5 |
| Химическая формула | С₅₈Н₁₁₃О₂₆ |
| Молекулярный вес, г/моль | 1228,48 |
| Содержание основного вещества, % | ≥96 |
| Внешний вид | вязкая жидкость от бесцветного до бледно-желтого цвета |
| Растворимость, г/л | в воде 100 |
1247ML500
500 мл
6 000 руб.
6 000 руб. RUB
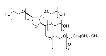
| CAS-No. | 9005-64-5 |
| Химическая формула | C₅₈H₁₁₄O₂₆ |
| Молекулярный вес, г/моль | 1227,72 |
| Плотность (20 °C/4 °C) | 1095-1105 |
| Омыление | 40-50 |
| Растворимость (25 °C), г/л | 100 (H₂O) |
| Температура кипения, °C | более 100 |
| Цвет по Гарднеру | 6 |
P7949-100ML
100 мл
9 724 руб.
| CAS-No. | 9005-64-5 |
| Химическая формула | C₅₈H₁₁₄O₂₆ |
| Молекуляный вес, г/моль | 1227,72 |
| Описание | Вязкая жидкость |
| Состав | Лауриновая кислота, ≥40% (в составе в основном миристиновая, пальмовая и стеариновая кислоты) |
| Плотность (при 25 °C) | 1,095 |
| Показатель преломления (n)²⁰ | 1,468 |
Merck (Millipore, Sigma-Aldrich, Supelco)
Твин 20,
CAS 9005-64-5,
for molecular biology, viscous liquid P9416-50ML
50 мл
P9416-100ML
100 мл
19 600 руб.
19 600 руб. RUB
Синоним: полиэтиленгликоль сорбитанмонолаурат, полиоксиэтиленсорбитан монолаурат
| CAS № | 9005-64-5 |
| Химическая формула | C₅₈H₁₁₄O₂₆ |
| Молекулярный вес | ~ 1 228 г/моль |
| Содержание основного вещества, % | ≥40.0% (GC) |
| Внешний вид | вязкая жидкость |
| CMC | 60 мг/л |
| показатель преломления | n20/D 1,468 |
| Плотность, г/мл | 1,095 при 25 °C |
| pH | 7 |
056270.500 ml
500 мл
1 674 руб.
| CAS-No. | 9005-64-5 |
| Внешний вид | вязкая жидкость бледно-желтого цвета |
| Растворимость | 5%-ный раствор в воде имеет прозрачный бледно-желтый цвет |
| Вес на мл при 20 °C, г | не менее 1,105-1,107 |
| Гидроксильное число | не более 97-113 |
| Число омыления | не более 40-51 |
Индекс опасностиИндекс опасности (H) | H315, H319, H335 |
Индекс предупрежденияИндекс предупреждения (P) | P261, P305+P351+P338 |
Символы опасностиСимволы опасности | Опасность |