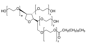
Синонимы: полисорбат 20, монолаурат полиоксиэтиленсорбитана.
| CAS-No. | 9005-64-5 | 
| Химическая формула | C₅₈H₁₁₄O₂₆ | 
| Молекулярный вес, г/моль | 1227,72 | 
| Содержание основного вещества, % | не менее 97-100,5 | 
| Остаток при воспламенении (в виде SO4), % | не более 0,2 | 
| Гидроксильное значение | 96-108 | 
| Йодное число | не более 5 | 
| Пироксидное число | не более 5 | 
| Омыление | 40-50 | 
| Состав жирных кислот | тест пройден | 
| Полный пепел | не более 0,25 | 
| Остаточные растворители (EP/USP) | тест пройден | 
| 1,4-диоксан, % | не более 0,001 | 
| C10 (каприновая кислота), % | не более 10 | 
| С12 (лауриновая кислота), % | не более 40-60 | 
| С14 (миристиновая кислота), % | не более 14-25 | 
| С16 (пальмитиновая кислота), % | не более 7-15 | 
| С18 (линолевая кислота), % | не более 3 | 
| C18 (олеиновая кислота), % | не более 11 | 
| C18 (стеариновая кислота), % | не более 7 | 
| С6 (капроновая кислота), % | не более 1 | 
| C8 (каприловая кислота), % | не более 10 | 
| Окись этилена, % | не более 0,0001 | 
| Вода (по Карлу Фишеру), % | не более 3 | 
| Цвет по Гарднеру | не более 6 | 
 
  
  
  
  
  
  
  
  
  
  
  
  
  
  
  
  
  
  
  
  
  
  
  
  
  
  
  
  
  
  
  
  
  
  
  
  
  
  
  
  
  
  
  
  
  
  
  
 