Top.Mail.Ru
voronezh@dia-m.ru 8 (800) 234-05-08
+7 (473) 232-44-12
Ваш регион Москва?

Вернуться назад

ЭГТА, 98%, для молекулярной биологии, CAS 67-42-5, (аналог арт. 932600.10 gm, CDH, Индия) neoFroxx

Артикул Цена, руб. Наличие на складе Количество
1752GR005 5 г товар временно недоступен
Аналоги данного товара

Описание

Аналоги

Оплата и доставка

Товар временно недоступен. Аналог: 932600.10 gm, CDH, Индия


Этиленгликоль-бис(2-аминоэтилэфир)-N,N,N′,N′-тетрауксусная кислота используется:

  • в фосфатно-солевом буфере Дульбекко (DPBS) для ослабления межклеточных соединений;
  • как внеклеточный хелатор кальция для изучения роли кальция в дегенерации митохондрий аксонов;
  • как компонент в лизирующем буфере для лизирования клеток слизистой оболочки мышей для анализа вестерн-блоттинга.

Хелатирующий агент, полезный для определения кальция в присутствии магния.

Биохимические/физиотерапевтические действия

Этиленгликольтетрауксусная кислота (ЭГТА) может хелатировать кальций (Ca₂+) в соотношении 1:1. Она служит антикоагулянтом при растворении в концентрации 1 г на 100 мл крови. ЭГТА может предотвращать везикулярное высвобождение в нанодомене одиночных каналов Ca₂+. Этот хелатор металла может ингибировать активность псевдолизина.

Этиленгликоль-бис(2-аминоэтилэфир)-N,N,N′,N′-тетрауксусная кислота A является хелатирующим агентом, используемым для определения кальция в присутствии магния.

Раскрыть описание

Доставка

Доставка осуществляется по всей России и странам СНГ. Возможен самовывоз со склада по адресу Московская область, г. Мытищи, 7-й Ленинский переулок, д.13. Доставка по Москве и Московской области осуществляется бесплатно.

Цена товара указана со склада в Москве и не включает расходы на доставку в другие города.

Вы можете выбрать способ доставки в личном кабинете, чтобы он автоматически указывался при оформлении всех последующих заказов. При выборе варианта «Транспортная компания по выбору клиента» укажите в комментариях транспортную компанию, с которой вы предпочитаете работать.

Точная стоимость доставки рассчитывается менеджером при подтверждении заказа в зависимости от весообъемных характеристик и дальности. Товары, требующие особого температурного режима, доставляются с соблюдением требуемых условий. Если в заказе есть прекурсоры, необходимо оформить официальное письмо об отпуске прекурсоров. (образец письма об отпуске прекурсоров)


Оплата

Компания Диаэм работает с юридическими и физическими лицами. После оформления заказа продавец-консультант сформирует счет и направит его вам по электронной почте и на страницу заказа в Личном кабинете на сайте. Вы также можете сами сформировать счет из Корзины, авторизовавшись на сайте. Счет оплачивается через банк. Вы можете оплатить товар в кассе Диаэм или любом отделении банка.

Для получения товара необходимо предоставление доверенности организации, а для получения товара при оплате физическим лицом необходим паспорт.



Синонимы: этиленгликоль-бис-(β-аминоэтиловый эфир)-N,N,N',N'-тетрауксусная кислота, этилендиокси-бис-(этиленнитрило)-тетрауксусная кислота, эгтазовая кислота.
CAS-No. 67-42-5
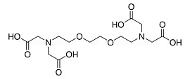
Химическая формула C₁₄H₂₄N₂O₁₀
Молекулярная масса 380,35 г/моль
Условия хранения не выше 25 °C
Содержание основного вещества, % 98
Внешний вид порошок от белого до темно-желтого цвета
ДНКазы/РНКазы/протеазы не содержит

Раскрыть анкету для отправки запроса

Подобрать аналог, задать вопрос

Поле обязательно к заполнению Некорректный формат
Поле обязательно к заполнению Некорректный формат
Поле обязательно к заполнению
Поле обязательно к заполнению
Аналоги данного товара
Ваш заказ будет обработан
в ближайшее время.
Мы пришлем уведомление, как только все будет готово. Спасибо!